首页 > 产品展示 > 代理品牌 > 安耐特 ANLET > Anlet 罗茨鼓风机

BWH
分类:安耐特 ANLET

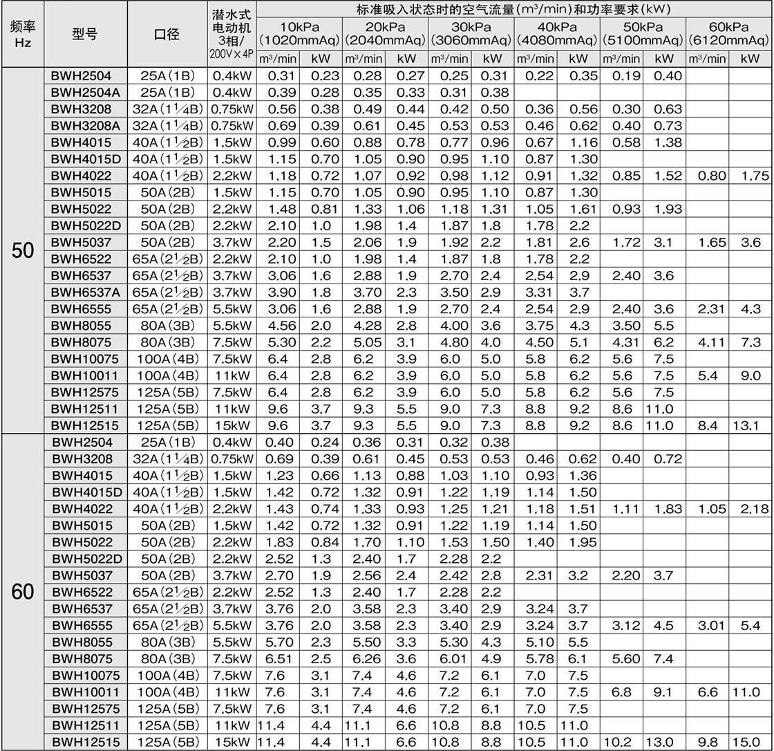
技术参数

bwh

优点

1. 三叶片罗茨转子和双螺形外壳能把噪音和振动都减到最小。而且无间断地运转方式达成了节能化的需求。

2. 操作时空气洁净、无油混,因此没有油雾扩散污染环境。

3. 一体化转子/轴装置免磨损,可长时间连续运行而鼓风机性能不减低。

4. 机体结实小巧,其高效能叶片可进行高速运行。

5. 保养维修简单,采用可补给润滑脂的特殊轴承,保证鼓风机使用寿命长。

6. 采用防齿轮油外泄机构,因而无漏油问题。

7. 各种型号齐全,请根据需要选择合适的类型。

优点

热线电话
0755-27537366
咨询服务:欢迎填写表单联络
我们会有专人尽快联系您
立即填表
微信联系:专人快速响应
立即前往

请完整填写以下表格。
我们期待您的垂询,并会尽快回复您。
真空度换算器(此为公式计算理论值,仅供参考。)

始于

1987

  • 深圳总部
  • 苏州
  • 天津
  • 台北